浙江微流纳米生物技术有限公司
目前,纳米乳液的制备方法大体可分为低能和高能两种乳化法。其中高能乳化法常借用高压均质机制备纳米乳液,高压微射流在较短时间对乳液体系进行高速撞击、剪切、气蚀等,可形成均一、稳定的纳米乳液。
姜黄素,也称二阿魏酰基甲烷,是一种从姜黄根茎中获得的天然黄色色素。作为香料或食品着色剂, 姜黄素拥有独特的风味和颜色;作为医药用品,它有着抗氧化、抗炎、护肝和抗肿瘤等多种生物和药理活性。然而在碱性和光照条件下姜黄素易分解和水溶解性差的缺点,严重影响了其在功能性食品和医药品中的应用。
因此如何提高姜黄素的生物利用率、稳定性与水溶性是目前的研究重点及难点。较近研究表明,将一些具有生物活性的脂溶性化合物植入运载体系中,如制备姜黄素纳米乳液,大大提高了其稳定性及水溶解性等。
本文将采用高压微射流制备水包油型姜黄素纳米乳液,研究均质条件、乳化剂类型和浓度对乳液粒径及稳定性的影响,为制备均一、稳定的姜黄素纳米乳液,以及在强化食品功能因子方面提供技术依据。
材料与试剂
姜黄素;吐温80;阿拉伯胶;乳清蛋白(WPC-80);卵磷脂(大豆);MCT(中链甘油三酸酯)等
高速分散器;NanoGenizer30K高压微射流均质机 (苏州微流纳米生物技术有限公司);激光粒度仪;分散体系分析仪
实验步骤
1. 姜黄素纳米乳液的制备
称取处方量姜黄素粉末,将其加入热MCT(80℃)中,磁力搅拌至完全溶解,形成油相。称取一定量的乳化剂(吐温80、卵磷脂、乳清蛋白和阿拉伯胶)分别溶解于磷酸盐缓冲溶液(10mmol/L,pH7)中,形成水相。将油相缓慢滴加到水相中并高速分散得到粗乳液,然后将粗乳液通过微射流均质机(不同的均质条件)获得精细乳液,将其立即冷却至室温备用。
2. 姜黄素乳液平均粒径的测定
姜黄素乳液的平均粒径采用激光粒度仪测定。上机检测前将细乳液用磷酸盐缓冲溶液(pH7.0)稀释,所测样品均为新鲜配制。为减小测量误差,所有测量均进行3次,然后取平均值。
3. 姜黄素乳液物理稳定性快速分析
用Lu-misizer稳定性分析仪测定乳液的稳定性。采用现有分析模式(Front tracking)确定合适的均质条件、乳化剂浓度。取乳状液1.8mL,缓慢注射至样品试管底部(试管壁上禁止有残留和气泡),温度设定为25℃,离心转速4000r/min,每30s记录1次样品的透射率特征线,共255次。
实验结果
1. 4种乳化剂对姜黄素乳液物化性能的影响
随着乳化剂浓度的增大,表面张力不断下降,由于乳化剂浓度达到一定值后,乳化剂大分子会在水溶液中形成球状和棒状的胶团,形成胶团的浓度即临界胶团浓度,因此选择合适的乳化剂浓度非常重要。

图1 乳化剂添加量对乳液粒径的影响
从图1可以看出,4种乳化剂在相同均质条件(均质压力60MPa,3次)下,随着乳化剂添加量的增大,乳液粒径逐渐减小,之后趋势平缓。其中小分子类合成乳化剂(吐温80)与蛋白质类(乳清蛋白)对粒径的影响大于多糖类(阿拉伯胶)和磷脂类(卵磷脂),乳化剂类型对乳液粒径的影响较大,可认为乳化剂是影响乳液粒径的主要因素,这与乳化剂能否在油水界面形成致密乳化层,进而迅速降低界面张力,达到较好乳化效果有关。
图1显示当吐温80和乳清蛋白的添加量于2%左右时,乳液粒径大小基本保持不变,维持在169 nm与226 nm左右。选此值作为后续试验添加量。阿拉伯胶的质量分数在4%时乳液粒径小至(650 nm)。当卵磷脂的添加量到3%时,粒径减小趋势不太明显,粒径为415 nm。选用4%与3%作为阿拉伯胶和卵磷脂后续研究的添加量。
2. 均质条件对姜黄素乳液粒径、物化性能的影响

图2 均质条件对乳液平均粒径的影响
从图2a看,随着均质压力的增大,4种乳液的平均粒径逐渐减小,之后趋于平缓。4种乳化剂制备的粗乳液在均质压力从10MPa增至40MPa时,其粒径减小趋势比较明显。均质压力增大,能耗随之增大,导致温度升高,破坏物质的结构,需综合考虑选择较适压强。4种粗乳液的均质压力从10MPa增到80MPa时,阿拉伯胶乳液的粒径从834nm降至600nm,当压力过40MPa后粒径基本保持不变,故选此压力做后续试验。卵磷脂乳液的粒径从362 nm 降至196nm,且一直保持减小趋势,这可能与高温、高压下卵磷脂不稳定,进而发生结构变化有关。选择40MPa为其合适压力。乳清蛋白和吐温80乳液的粒径分别降至225nm和130 nm,压力过高可能会引起蛋白变性。综合考虑采用40MPa作为乳清蛋白乳液的均质压力,60MPa作为吐温80的均质压力。
从图2b可看出,4种乳液的平均粒径随着均质次数的增加,乳液平均粒径减小,之后趋势变小。随着均质次数的增加,乳液粒子之直径(粒径)分布均匀,对乳液的稳定性有一定的影响。阿拉伯胶乳液在均质压力为40MPa,添加量为4%,均质两次后粒径基本保持在 570nm左右,选较适均质次数为2。卵磷脂在均质压力为40MPa,添加量为3%时,随着均质次数的增加其粒径减小,然而均质6次后,粒径减小趋势增大,可能与其结构变化有关。较终选均质6次做后续研究。乳清蛋白则在均质压力40MPa,添加量为2%,均质6次时粒径小至(196 nm),较终选其均质6次。吐温80在均质压力60MPa,添加量2%,均质过 6次后,粒径虽有减小但不明显。综合考虑能耗及时间,选均质6次。
3. 均质条件对姜黄素乳液稳定性的影响
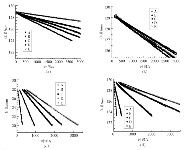
采用Lumisizer稳定性分析仪,通过离心加速沉降、悬浮的方法使溶液分层。因溶液中粒子在不同时间会有所移动,进而造成对应位置的光透射强度发生变化,故将每个位置的光强度值连接起来,得到profile曲线。随着时间的变化,可得到不同的profile,通过每条曲线之间的差异表征出稳定性的好坏。采用Front tracking的分析方法分析曲线,能更直观地描述乳液的稳定性。斜率图(正斜率代表沉降,负斜率代表悬浮)见图3a至图6d,斜率绝对值越大越不稳定。图3a,4a,5a,6a代表不同均质压力(10,20,40,60,80MPa)对乳液稳定性的影响,图3b,4b,5b,6b均为不同均质次数(1,2,4,6,8次)对乳液稳定性的影响。

图3 均质条件对乳清蛋白乳液稳定性的影响

图4 均质条件对吐温80乳液稳定性的影响

图5 均质条件对卵磷脂乳液稳定性的影响

图6 均质条件对阿拉伯胶乳液稳定性的影响
图3a为乳清蛋白的添加量2%,均质次数3次时, 不同均质压力下所得斜率值A-E(-8.511,-6.275,-4.435,-4.120,-3.920)。选60MPa作为其合适压强值。图3b为乳清蛋白乳液在均质压力为60MPa,添加量为2%时,不同的均质次数所得斜率值A-E(-4.004,-1.763,-1.190, -1.007,-1.064),可看出均质次数过4次,对其稳定性影响不明显。较终选用均质4次。
从图4a同样可看出,吐温80乳液的添加量为2%,均质3次时,随着均质压力的增大,乳液的稳定性变好,之后变化不大,斜率值分别为-28.38,-11.68,-5.917,-7.420,5.563,在均质压力在大于40MPa后对其稳定性影响逐渐减小。过高的压力容易引起蛋白变性,建议选择压力40MPa做试验。图4b显示,吐温80乳液的添加量为2%,均质压力40MPa时,随着均质次数的增大,乳液稳定性变好,斜率值分别为-2.921,-1.884,-1.348,-1.189,-1.073。 均质过6次后基本稳定,6次为其合适的均质次数。
从图5a可看出,在乳化剂添加量为4%,均质3次时,均质压力与其稳定性呈负相关,斜率值分别为-4.162,-4.090,-4.195,-4.723,-5.069,在压力过60MPa后稳定性开始下降,可能与卵磷脂在高温、高压下不稳定,结构发生变化有关,进而影响其乳化效果。较终选其适宜压力40MPa。图5b为卵磷脂在均质压力40MPa,添加量4%时,乳液随着均质次数的增加,稳定性的变化,斜率值为-5.528,-4.107,-3.718,-3.491,-3.276。较终选均质6 次。
图6a显示,阿拉伯胶乳液在添加量为4%,均质3次时,随着均质压力的增大,其稳定性差,其斜率值为-2.654,-2.339,-3.587,-4.666,-4.054。压力20MPa为其合适压力。这是因为阿拉伯胶是一种天然的多糖类大分子聚合物,其分子结构中含有2%左右的蛋白质,且与多糖部分共价结合。在高压下阿拉伯胶与蛋白质共价结合,自身结构被破坏,影响其乳化效果。图6b显示,阿拉伯胶乳液在均质压力20MPa,添加量为4%时,随着均质次数的增加,其稳定性先好后差,其斜率值分别为-2.403,-1.332,-1.396,-1.658,-1.724。较终选均质2次。
4. 乳化剂浓度对乳液稳定性的影响

图7 乳化剂类型与浓度对乳液稳定性的影响
从图7a至7d可看出4种乳化剂在各自选定的均质条件下,随着乳化剂添加量的增大,乳液的稳定性提高。
图7a显示不同浓度的乳清蛋白乳液分析斜率为-1.849,-1.419,-1.211,-0.9052,-0.5440,当其添加量为4%时,斜率线趋于平缓。乳化剂添加量选择4%或者略大于4%。
图7b可看出,随着吐温80乳液浓度的增大,其稳定性呈先升高后下降的趋势。其合适添加量为2%。吐温80乳液粒径较小,之前有研究表明粒径太小容易发生凝聚、沉淀,这可能是影响其稳定性的原因。
图7c显示:分析卵磷脂乳液所得斜率值为-30.79,-9.944,-5.305,-3.900,-2.906。当添加量过4%时,其斜率曲线趋于平缓,可考虑选择添加量为4%,或者略大于4%。
从图7d可以看出,阿拉伯胶乳液的稳定性受浓度的影响较大,当添加量为4%时,其减小趋势较大。若浓度过高容易造成乳液的黏性过强,则不适宜应用,可考虑选择4%或略大。
结论
4种乳化剂在相同处理条件下,吐温80乳液的粒径受均质条件、乳化剂浓度的影响大至,乳清蛋白次之,然后是卵磷脂、阿拉伯胶。结合均质条件,乳化剂浓度对乳液粒径及稳定性的影响,乳清蛋白在均质压力60MPa,均质4次,添加量为2%时得到相对稳定的乳液; 吐温80在均质压力40MPa,均质6次,添加量为2%时得到相对稳定的乳液。卵磷脂可在均质压力40MPa,均质为4次,添加量为4%或略大均可。阿拉伯胶在均质压力为20MPa,均质2次,添加量为4%或略大

图8 微射流均质机
更多详情请联系
![]() | 王经理 |
Jin210826M